Jump to content

Cachly having problem to show TeX expressions?


spårsyskonen

Recommended Posts

Hello, I am creating some new geocaches and I tried to write mathematical expression with TeX. It looks nice while on the computer but when I open the cache in Cachly it seem like Cachly having problem to show the expressions properly. It looks like some HTML is still left in the cache description, see picture. I am wondering if this is something that is planned to be fixed or if this only seem to be a problem for me?

 

Thanks for a great geocaching app!

440805508_1108077070267285_6411303865965062940_n.jpg

Link to comment
Share on other sites

  • 1 year later...

Hello, sorry for the very late response. I did not get any notification of a reply.

Unfortunately this cache was not published which is why there is no active GC-code. However, I now created an example with one of my other active geocaches. https://coord.info/GC799NY

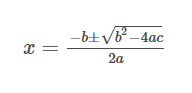
The problem occurs when using geocaching.com's function to write mathematical expressions with TeX. Opening the cache page while on the computer it looks fine, but when doing the same but using Cachly the mathematical expression is not correctly visualized and is shown as an expression of code. See the two attached images, one marked as "correct" and the other marked as "incorrect". 

I am currently using the latest available version of Cachly: V 8.0.13

Thanks again!

Correct.png

incorrect.jpeg

Link to comment
Share on other sites

Join the conversation

You can post now and register later. If you have an account, sign in now to post with your account.

Guest
Reply to this topic...

×   Pasted as rich text.   Paste as plain text instead

  Only 75 emoji are allowed.

×   Your link has been automatically embedded.   Display as a link instead

×   Your previous content has been restored.   Clear editor

×   You cannot paste images directly. Upload or insert images from URL.

Loading...
×
×
  • Create New...